Bratach na Libéire - Méid XL - 10 Grommets - Poileistir Buan
Vendu par Pixelforma
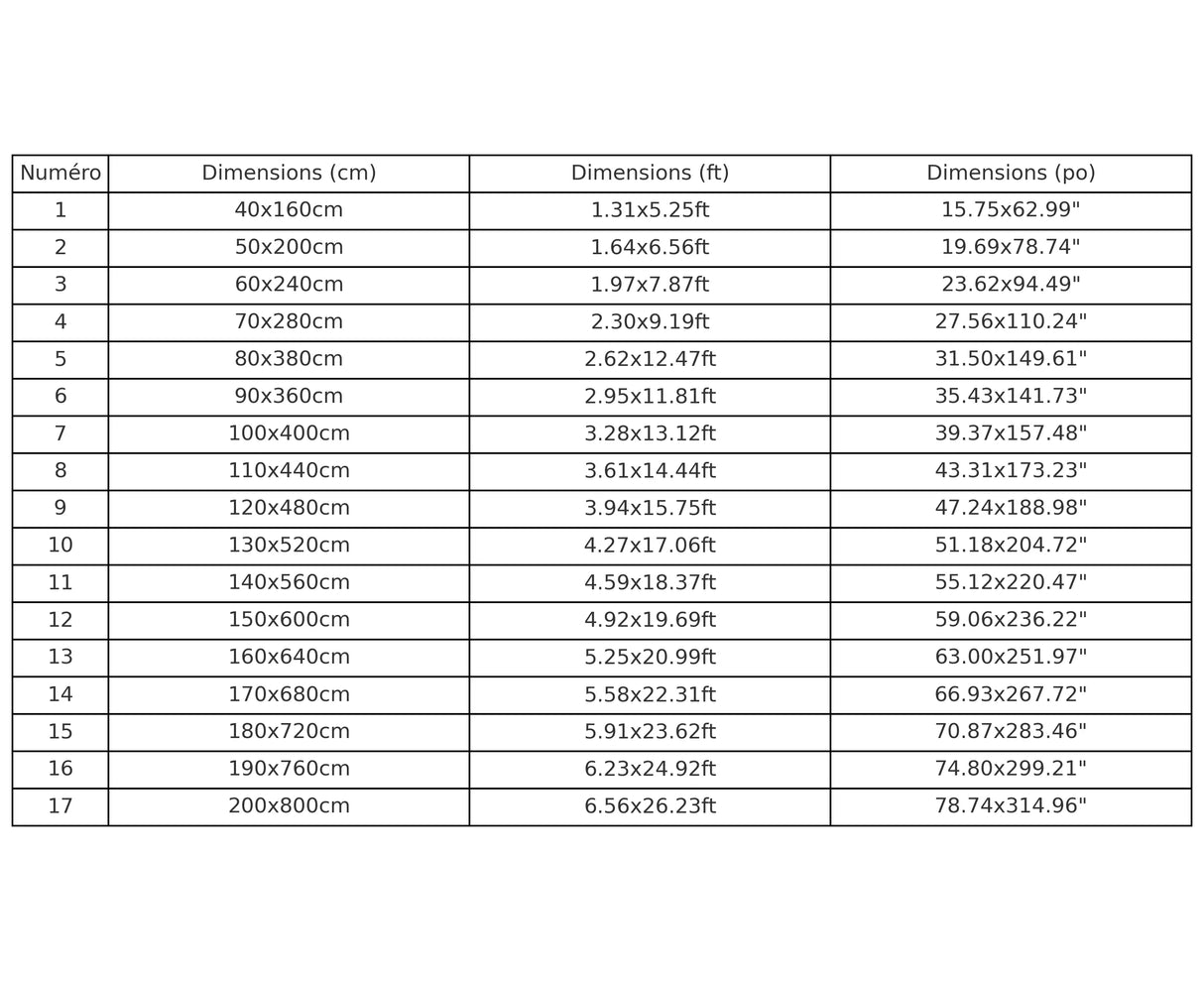
Bratach na Libéire - Méid XL - 10 Grommets - Poileistir Buan - 100 x 400 cm is backordered and will ship as soon as it is back in stock.
Description
Description
Bratach na Libéire Poileistir 8 Grommets – Méid XL
Ábhar CRUA: Déanta as poileistear ardchaighdeáin, tá an bhratach seo deartha chun na heilimintí a sheasamh agus a gile a choinneáil, fiú le húsáid fhada. aimsir.
Ardphróiseas Priontála: Priontáil aistrithe teasa digiteach, ag tairiscint dearaí géara agus dathanna bríomhara le haghaidh toradh amhairc eisceachtúil.
Formáid Chaighdeánach do Mhéid XL: Tá an bhratach seo mar chuid d'fhormáid XL Size. Tá na toisí comhsheasmhach laistigh den chatagóir seo le haghaidh comhsheasmhachta optamach.
Méideanna eile atá ar fáil:
Más mian leat bratach níos leithne nó níos cúinge, déan iniúchadh ar na méideanna eile atá againn: Méid M, L, nó XL, oiriúnach chun freastal ar riachtanais agus spásanna éagsúla.
Amanna próiseála
Amanna próiseála
Amanna próiseála: 3 go 5 lá gnó


