덴마크 국기 8개 그로밋 폴리에스터 - XL 사이즈
내구성 있는 소재: 고품질 폴리에스터로 만든 이 국기는 날씨에 잘 견디고 장기간 사용해도 광택을 유지하도록 디자인되었습니다.
강화된 그로밋: 8개의 스테인리스 스틸 그로밋이 장착되어 있어 부착이 쉽고 장력과 날씨에 대한 저항성이 최적입니다.
고급 인쇄 공정: 디지털 열전사 인쇄로 선명한 디자인과 생생한 색상을 제공하여 뛰어난 시각적 효과를 제공합니다.
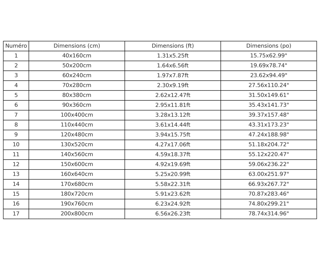
XL 사이즈 표준 형식: 이 국기는 XL 사이즈 형식에 속합니다. 최적의 일관성을 위해 이 카테고리 내에서 치수가 일관되게 적용됩니다.
다른 사이즈도 있습니다:
더 넓거나 좁은 깃발을 원하시면 다른 사이즈를 살펴보세요: 사이즈 M, L 또는 XL, 다양한 요구 사항과 공간에 맞게 사용할 수 있습니다.
Avis clients
0,0/5
(0 avis)
Le traitement de votre commande est de 3 à 5 jours ouvrés avant expédition.


