Pitcairneilanden-vlag – XL-formaat – 10 ringen – duurzaam polyester
Vendu par Pixelforma
Pitcairneilanden-vlag – XL-formaat – 10 ringen – duurzaam polyester - 100 x 400 cm is nabesteld en wordt verzonden zodra het weer op voorraad is.
Beschrijving
Beschrijving
Vlag van de Pitcairneilanden met 8 ringen van polyester – maat XL
Duurzaam materiaal: Gemaakt van hoogwaardig polyester, is deze vlag ontworpen om de elementen te weerstaan en zijn helderheid te behouden, zelfs bij langdurig gebruik.
Versterkte ringen: Uitgerust met 8 roestvrijstalen ringen, voor eenvoudige bevestiging en optimale weerstand tegen spanning en weersinvloeden.
Geavanceerd printproces: Digitale warmteoverdrachtsprint, met scherpe ontwerpen en levendige kleuren voor een uitzonderlijk visueel resultaat.
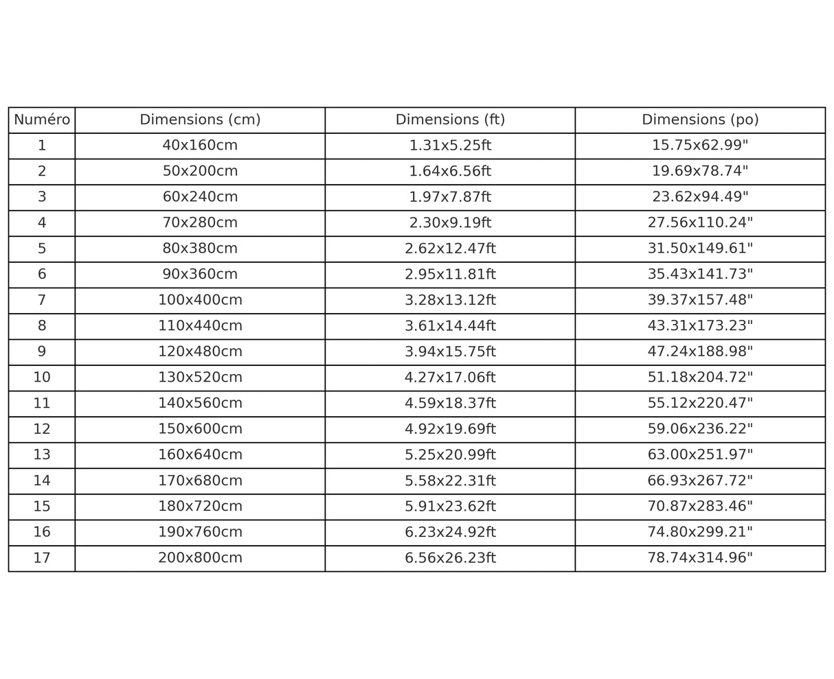
Standaardformaat voor maat XL: Deze vlag valt onder het formaat XL. De afmetingen binnen deze categorie zijn consistent voor optimale consistentie.
Andere beschikbare maten:
Als u een bredere of smallere vlag wilt, bekijk dan onze andere maten: maat M, L of XL, geschikt voor verschillende behoeften en ruimtes.
Verwerkingstijden
Verwerkingstijden
Verwerkingstijden: 3 tot 5 werkdagen


