Vlag van de Britse Maagdeneilanden - XL-formaat - 10 ringen - duurzaam polyester
Vendu par Pixelforma
Vlag van de Britse Maagdeneilanden - XL-formaat - 10 ringen - duurzaam polyester - 100 x 400 cm is nabesteld en wordt verzonden zodra het weer op voorraad is.
Beschrijving
Beschrijving
Vlag van de Britse Maagdeneilanden met 8 polyester ringen – XL-formaat
Duurzaam materiaal: Gemaakt van hoogwaardig polyester, is deze vlag ontworpen om zware weersomstandigheden te weerstaan en zijn glans te behouden, zelfs bij langdurig gebruik.
Versterkte ringen: Uitgerust met 8 roestvrijstalen ringen, voor eenvoudige bevestiging en optimale weerstand tegen spanning en weersinvloeden.
Geavanceerd printproces: Digitale warmteoverdrachtsprint, met scherpe ontwerpen en levendige kleuren voor een uitzonderlijk visueel effect.
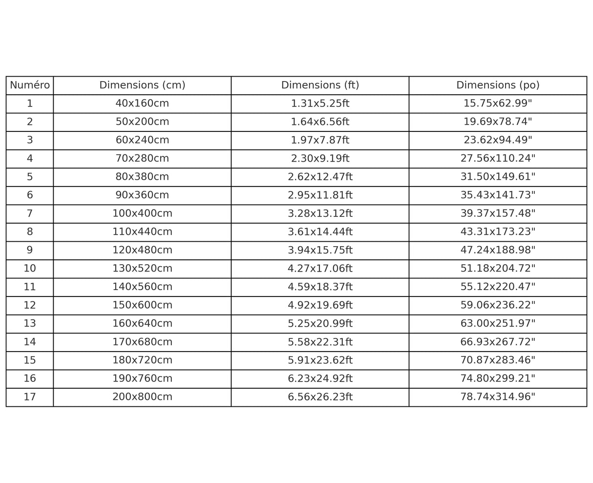
Standaardmaat voor XL-formaat: Deze vlag valt onder het XL-formaat. De afmetingen binnen deze categorie zijn consistent voor optimale consistentie.
Andere beschikbare maten:
Als u een bredere of smallere vlag wilt, bekijk dan onze andere maten: maat M, L of XL, geschikt voor verschillende behoeften en ruimtes.
Verwerkingstijden
Verwerkingstijden
Verwerkingstijden: 3 tot 5 werkdagen


