Vlag van de Malediven – Maat XL – 10 ogen – Duurzaam polyester
Vlag van de Malediven – Maat XL – 10 ogen – Duurzaam polyester - 100 x 400 cm is nabesteld en wordt verzonden zodra het weer op voorraad is.
Kon pick-up beschikbaarheid niet laden
Vlag Malediven 8 ringen Polyester – Maat XL
Duurzaam materiaal: Gemaakt van hoogwaardig polyester, is deze vlag ontworpen om de elementen te weerstaan en zijn glans te behouden, zelfs bij langdurig gebruik.
Versterkte ringen: Uitgerust met 8 roestvrijstalen ringen, voor eenvoudige bevestiging en optimale weerstand tegen spanning en weersinvloeden.
Geavanceerd printproces: Digitale warmteoverdrachtsprint, met scherpe ontwerpen en levendige kleuren voor een uitzonderlijk visueel effect.
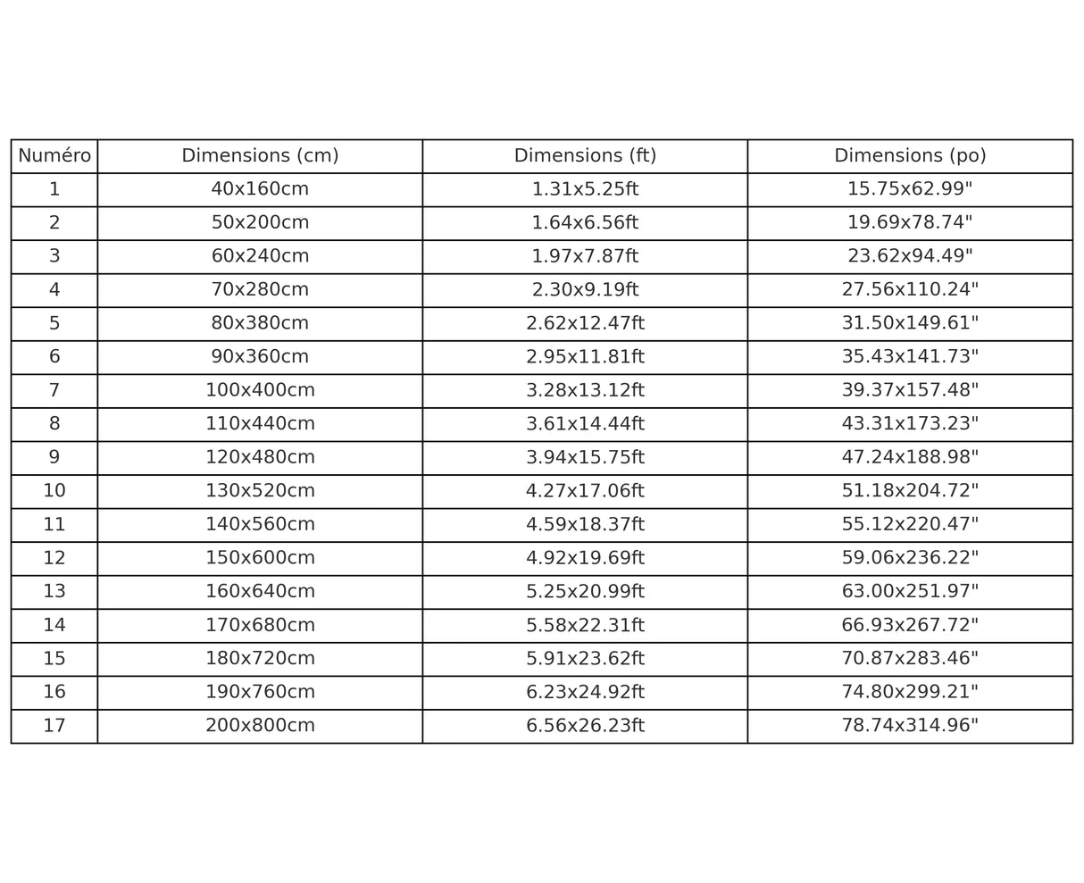
Standaardformaat voor maat XL: Deze vlag valt onder het formaat XL. De afmetingen binnen deze categorie zijn consistent voor optimale consistentie.
Andere beschikbare maten:
Als u een bredere of smallere vlag wilt, bekijk dan onze andere maten: Maat M, L of XL, geschikt voor verschillende behoeften en ruimtes.
Avis clients
Le traitement de votre commande est de 3 à 5 jours ouvrés avant expédition.