Flaga Svalbardu i Jan Mayen – rozmiar XL – 10 przelotek – wytrzymały poliester
Vendu par Pixelforma
Flaga Svalbardu i Jan Mayen – rozmiar XL – 10 przelotek – wytrzymały poliester - 100 x 400 cm is backordered and will ship as soon as it is back in stock.
Description
Description
Flaga Svalbardu i Jan Mayen, 8 przelotek poliestrowych – rozmiar XL
Trwały materiał: Wykonana z wysokiej jakości poliestru, flaga ta została zaprojektowana tak, aby wytrzymać trudne warunki atmosferyczne i zachować swój blask nawet przy dłuższym użytkowaniu.
Wzmocnione przelotki: Wyposażona w 8 przelotek ze stali nierdzewnej, co zapewnia łatwe mocowanie i optymalną odporność na naprężenia i warunki atmosferyczne.
Zaawansowany proces drukowania: Cyfrowy druk termotransferowy, oferujący ostre wzory i żywe kolory, co daje wyjątkowy efekt wizualny.
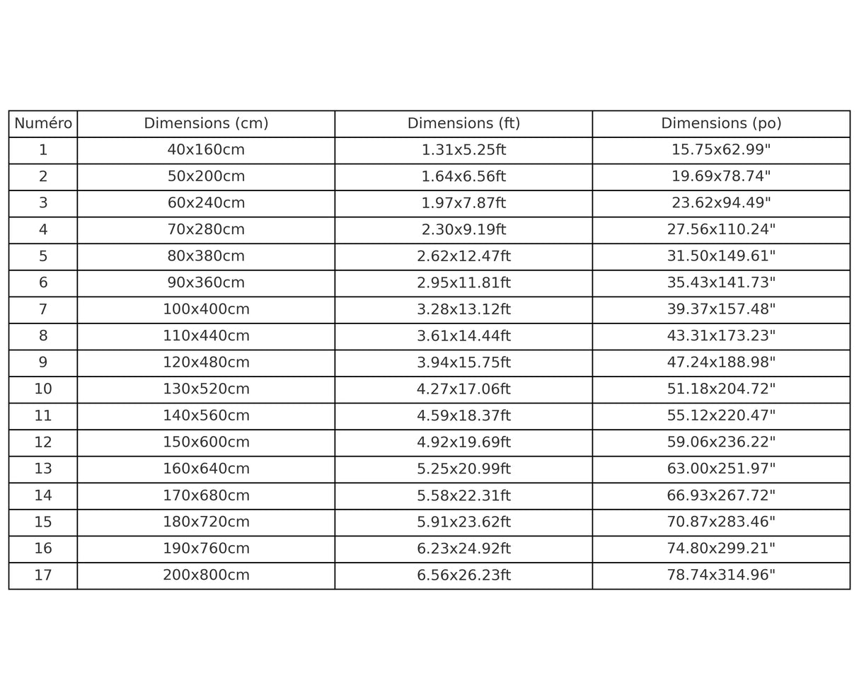
Standardowy format rozmiaru XL: Ta flaga jest częścią formatu rozmiaru XL. Wymiary są spójne w obrębie tej kategorii, co zapewnia optymalną spójność.
Dostępne są również inne rozmiary:
Jeśli potrzebujesz szerszej lub węższej flagi, sprawdź nasze inne rozmiary: Rozmiar M, L lub XL, które spełnią różne potrzeby i zapewnią optymalną spójność.
Czas przetwarzania
Czas przetwarzania
Czas realizacji: od 3 do 5 dni roboczych


