Kentucky Flag - XL Size - 10 Grommets - Durable Polyester
Vendu par Pixelforma
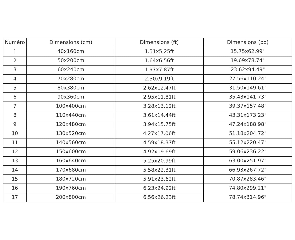
Kentucky Flag - XL Size - 10 Grommets - Durable Polyester - 3.28 x 13.12 ft is backordered and will ship as soon as it is back in stock.
Description
Description
Kentucky Flag 8 Grommets Polyester – XL Size
Durable Material: Made of high-quality polyester, this flag is designed to withstand the elements and maintain its brightness, even with prolonged use.
Reinforced Grommets: Equipped with 8 stainless steel grommets, ensuring easy attachment and optimal resistance to tension and weather.
Advanced Printing Process: Digital heat transfer printing, offering sharp designs and vibrant colors for an exceptional visual result.
Standard Size for XL Size: This flag is part of the XL Size format. Dimensions are consistent within this category for optimal consistency.
Other sizes available:
If you would like a wider or narrower flag, explore our other sizes: Size M, L, or XL, suitable to meet different needs and spaces.
Processing times
Processing times
Processing times: 3 to 5 business days


