Bandeira da Comunidade dos Estados Independentes – Tamanho S – 10 Ilhós – Poliéster Durável
Bandeira da Comunidade dos Estados Independentes – Tamanho S – 10 Ilhós – Poliéster Durável - 100 x 150 cm está esgotado e será enviado assim que estiver de novo em estoque.
Não foi possível carregar a disponibilidade de recolha
Bandeira da Comunidade dos Estados Independentes com 8 ilhós de poliéster – Tamanho P
Material durável: Feita de poliéster de alta qualidade, esta bandeira é resistente às intempéries e foi projetada para manter sua vibração, mesmo com uso prolongado.
Ilhós reforçados: Equipada com 8 ilhós de aço inoxidável, garantindo fácil fixação e ótima resistência à tensão e às intempéries.
Processo de impressão avançado: Impressão digital por transferência térmica, proporcionando designs nítidos e cores vibrantes para um apelo visual excepcional.
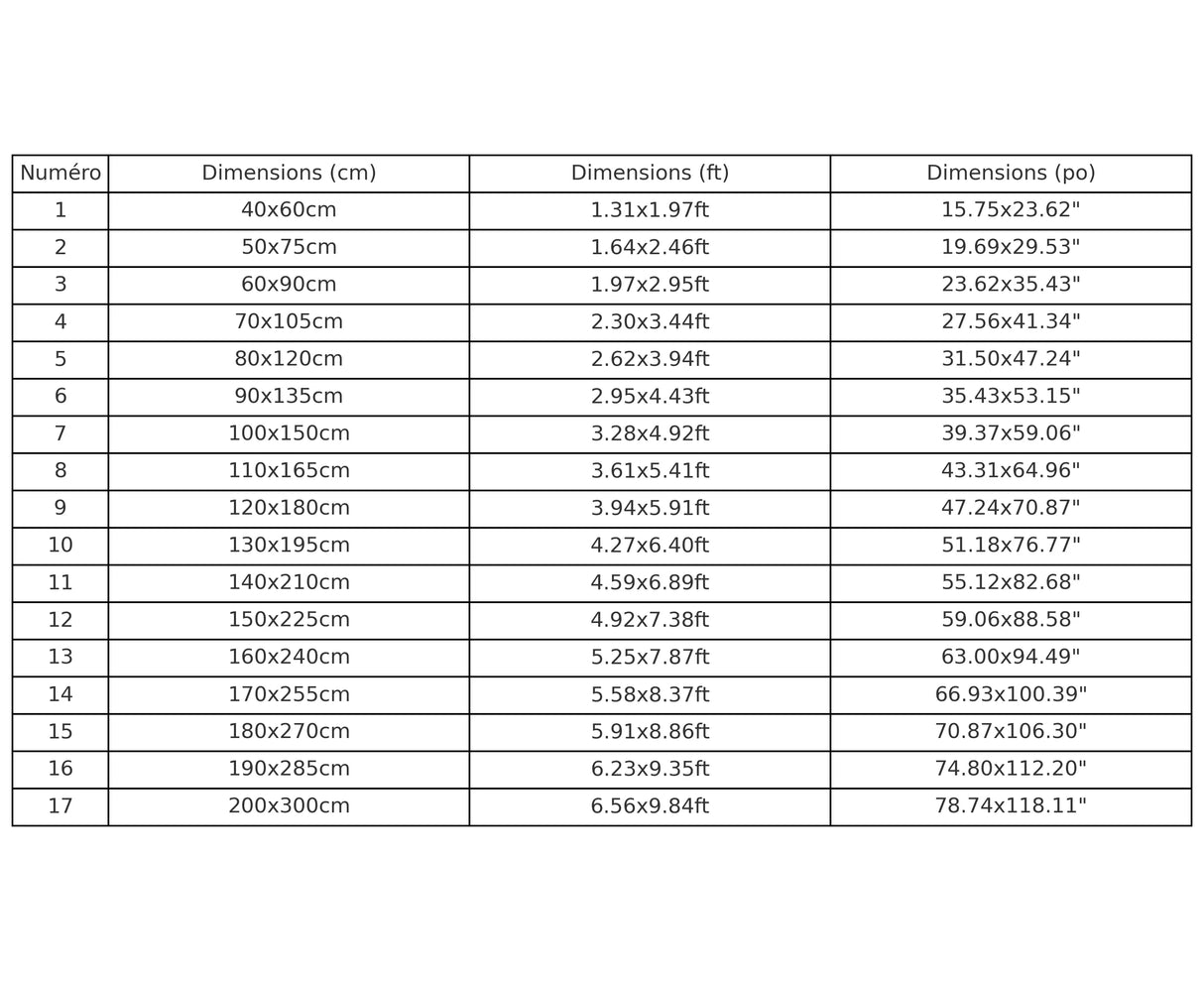
Tamanho padrão para o tamanho P: Esta bandeira faz parte do formato tamanho P. As dimensões são uniformes dentro desta categoria para consistência ideal.
Outros tamanhos disponíveis:
Se você quiser uma bandeira mais larga ou mais estreita, explore nossos outros tamanhos: Tamanho M, G ou GG, adaptados para atender a diferentes necessidades e espaços.
Avis clients
Le traitement de votre commande est de 3 à 5 jours ouvrés avant expédition.


