南部非洲發展共同體旗幟 8 個聚酯索環 - XL 尺寸
耐用材料:此旗幟採用優質聚酯製成,具有耐候性,即使長時間使用也能保持其光彩。
加固索環:配備8 個不銹鋼索環,確保輕鬆連接並獲得最佳的抗拉力和耐候性。
先進的印刷工藝:數位熱轉印,提供清晰的設計和鮮豔的色彩,帶來非凡的視覺吸引力。
XL 尺寸的標準尺寸:此旗幟屬於 XL 尺寸格式。此類別內的尺寸一致,以獲得最佳一致性。
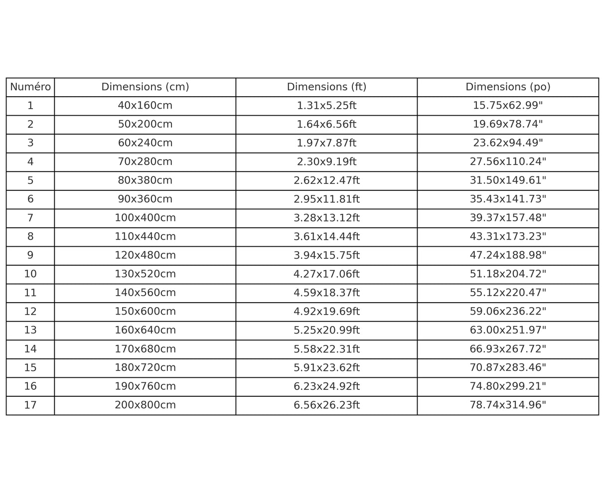
其他可用尺寸:
如果您想要更寬或更窄的旗幟,請探索我們的其他尺寸:尺寸 M、L 或 XL,適合滿足不同的需求和空間。
Avis clients
0,0/5
(0 avis)
Le traitement de votre commande est de 3 à 5 jours ouvrés avant expédition.


