不丹国旗 8 个索环 涤纶 - XL 尺寸
耐用材质:此旗帜采用优质涤纶制成,具有防风雨性能,即使长时间使用也能保持光彩照人。
加固索环:配备 8 个不锈钢索环,确保轻松连接并具有最佳的抗拉力和耐候性。
先进的印刷工艺:数码热转印,带来清晰的图案和鲜艳的色彩,带来非凡的视觉效果。
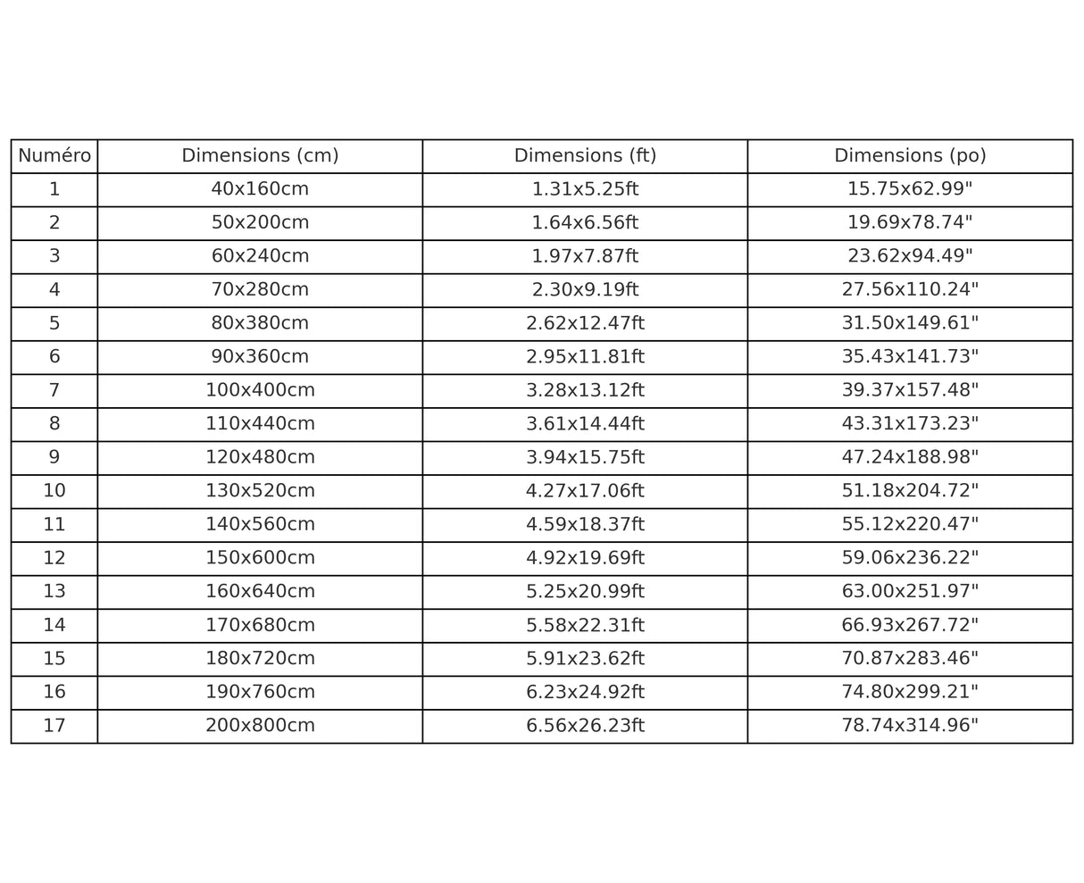
XL 尺寸的标准尺寸:此旗帜属于 XL 尺寸格式。此类别中的尺寸一致,以实现最佳一致性。
其他可选尺寸:
如果您想要更宽或更窄的旗帜,请浏览我们的其他尺寸:M、L 或 XL 尺寸,以满足不同的需求和空间。
Avis clients
0,0/5
(0 avis)
Le traitement de votre commande est de 3 à 5 jours ouvrés avant expédition.


