埃塞俄比亚国旗 8 个索环涤纶 - XL 尺寸
耐用材料:此旗帜采用优质涤纶制成,可抵御各种因素,即使长时间使用也能保持亮度。
加固索环:配备8 个不锈钢索环,确保轻松连接并具有最佳的抗拉力和耐候性。
先进的印刷工艺:数码热转印,提供清晰的设计和鲜艳的色彩,带来非凡的视觉效果。
XL 尺寸的标准格式:此旗帜属于 XL 尺寸格式。此类别内的尺寸一致,以获得最佳一致性。
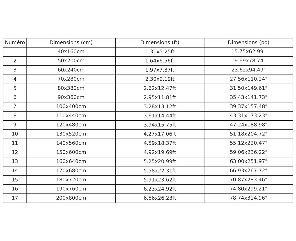
其他可用尺寸:
如果您想要更宽或更窄的旗帜,请探索我们的其他尺寸:尺寸 M、L 或 XL,适合满足不同的需求和空间。
Avis clients
0,0/5
(0 avis)
Le traitement de votre commande est de 3 à 5 jours ouvrés avant expédition.


