福克兰群岛旗帜 8 个聚酯索环 - XL 尺寸
耐用材料:此旗帜采用优质聚酯制成,可承受恶劣天气,即使长时间使用也能保持其光彩。
加固索环:配备8 个不锈钢索环,确保轻松连接并具有最佳的抗拉力和耐候性。
先进的印刷工艺:数码热转印,提供清晰的设计和鲜艳的色彩,带来非凡的视觉效果。
XL 尺寸的标准格式:此旗帜属于 XL 尺寸格式。此类别内的尺寸一致,以获得最佳一致性。
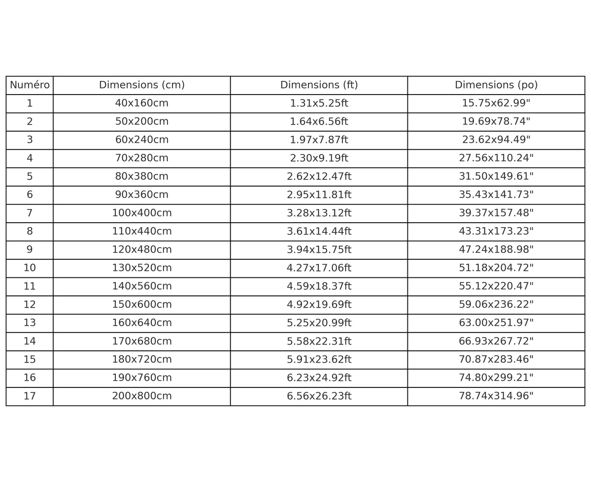
其他可用尺寸:
如果您想要更宽或更窄的旗帜,请探索我们的其他尺寸:尺寸 M、L 或 XL,适合满足不同的需求和空间。
Avis clients
    
    0,0/5
    (0 avis)
  
  
  
  
  
Le traitement de votre commande est de 3 à 5 jours ouvrés avant expédition.
 
            


