摩洛哥國旗 - XL 號 - 10 個孔眼 - 耐用滌綸
Regular price
$51.00
Unit price
/
Unavailable
摩洛哥國旗 - XL 號 - 10 個孔眼 - 耐用滌綸 - 100 x 400厘米 is backordered and will ship as soon as it is back in stock.
Personnaliser
Description
Description
摩洛哥國旗 8 個索環聚酯纖維 - XL 尺寸
耐用材質:此旗幟採用優質聚酯製成,可抵禦各種因素,即使長時間使用也能保持光彩。
加固索環:配備8 個不銹鋼索環,確保輕鬆連接並具有最佳的抗拉力和抗風雨性能。
先進的印刷工藝:數位熱轉印,提供清晰的設計和鮮豔的色彩,帶來非凡的視覺效果。
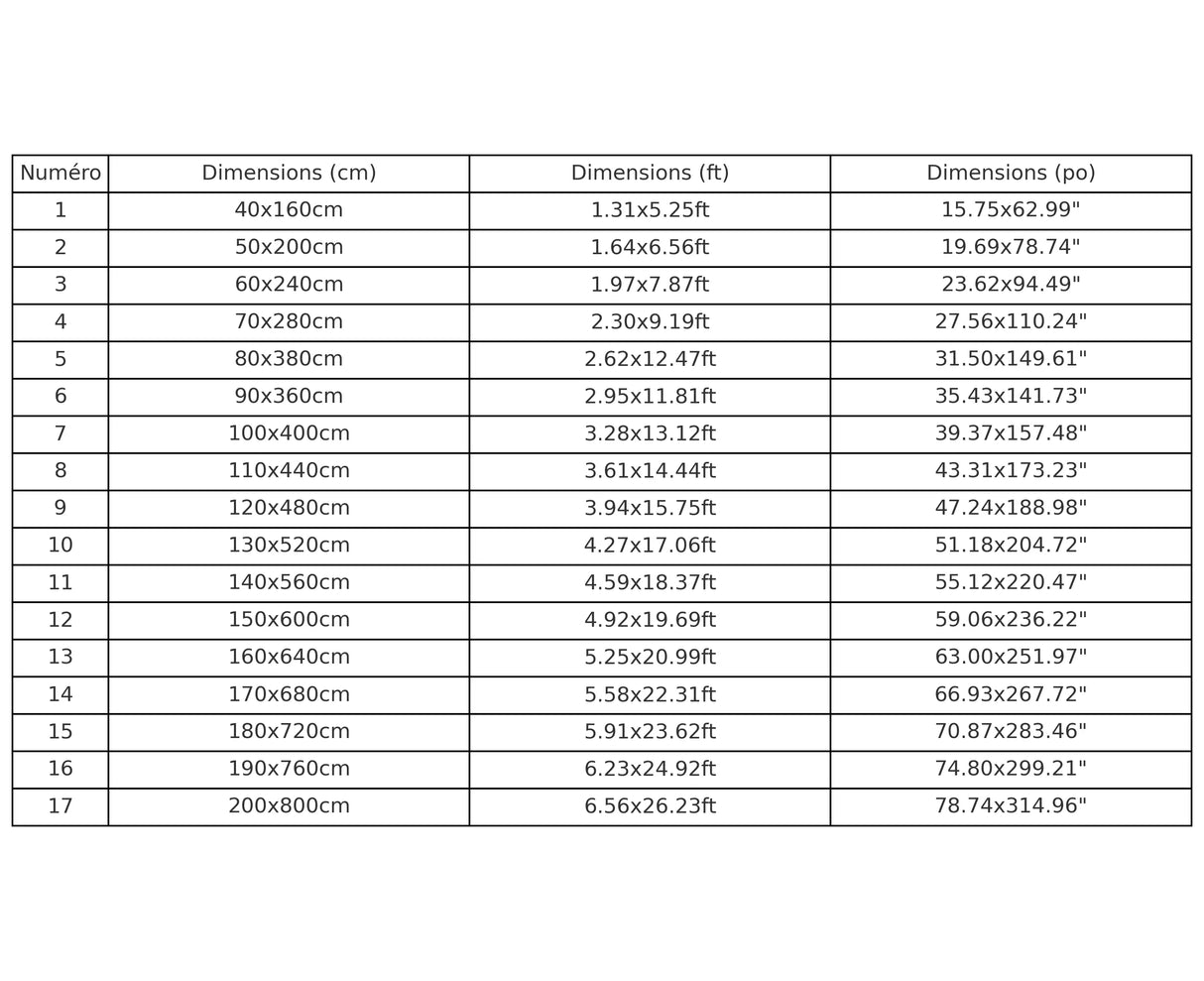
XL 尺寸的標準格式:此旗幟屬於 XL 尺寸格式。此類別內的尺寸一致,以獲得最佳一致性。
其他可用尺寸:
如果您想要更寬或更窄的旗幟,請探索我們的其他尺寸:尺寸 M、L 或 XL,適合滿足不同的需求和空間。
處理時間
處理時間
處理時間:3 至 5 個工作天


